0引言
近年来,中国市场经济的高速发展不但造成社会总体用电量的大幅增长,能源浪费现象也愈加严重。因此,节能减排工作正逐步受到社会各行业的关注。
工业一直是我国能耗支出的大户,能耗总量约占我国资源消耗总额的 70%。所以,通过加大工业电气节能科学技术研发,进一步改善能源管理水平,并不断完善节电技术,提高企业的节电工作力度,对于减少中国电力供需矛盾,降低工业生产成本以及增加中国企业的经济效益和社会利润有着重大的意义。由于缺乏一个统一集成的全公司范围电能量管理系统,大部分企业能源管理工作都还处于粗放型时期,其节能措施不健全,奖惩措施不完善,职工自主节电意识淡漠以及能源利用效率相对落后。所以,利用现代化的电气、通信和计算机技术构建一个综合的电能耗监测和管理体系,对大型企业的能耗设施运转进行有效监测与控制,为大型企业的电能管理提供有效的决策支持,已势在必行。
1系统功能需求
为完成对全厂电能数据的实时监控和集成管理,实现节能降耗的系统目标企业电能管理系统有以下功能需求。①数据采集。采用多线程数据采集技术,完成对全厂电气设备实时工作状态信息的采集。采集各生产设备的电参量,主要包括电压、电流、有功、无功和断路器刀闸状态等模拟量、数字量信息,不断刷新数据库,并对这些数据进行必要预处理和数据解析操作。②数据展现。采用了直观丰富的图形化显示功能,可以真实展示各种设备的当前工作状态,包括断路器的开合信号、潮流信息和负载曲线等。显示模块分为图形显示、数据显示、波形显示和状态量显示等几种形式。③事故预警。设定各电量参数的上、下限值,实现越限监视和报警,在事故发生前提前预警,识别故障隐患。④报表管理。统计全厂用电设备的电能消耗情况,生成数据报表、图形报表等各种不同形式的日报表、月报表,报表管理子系统不仅支持历史数据查询、报表打印,同时支持对数据缺失值进行人工修改。⑤用户管理。对企业不同用户赋予不同级别的权限,高权限用户账号可以管理低权限用户账号,分级操作。高权限用户具有权限设置功能,所有用户均具有登录认证、账户信息维护等功能。⑥负荷管理。在用电监测的基础上,统计分析和测算峰谷电量,并绘制负荷曲线,通过对年、月、日等负荷数据的统计分析,结合班组排产计划,对未来一段时间内的电力需求量作出合理预估,及时调整优化生产策略,以达到削峰填谷、节约成本的目的。⑦电能质量管理。实时检测电网供电质量,包括电压偏差、三相不平衡度、频率偏差、谐波畸变率和电压波动等。⑧考核管理。制定分时电价、单耗定额和电能质量 3 种考核模型,为管理层制定考核制度提供决策依据,节奖超罚,充分调动全厂员工的自主节电意识,形成良性竞争机制。⑨班组管理。通过值班记录,统计各部门的班组能耗数据,并按照实际电价计算电费,便于决策层实时掌握各班组的能耗情况,实现精细化管理的目的。⑩ Web发布。采用 Web 发布技术,便于用户可以在任一台联网的终端上去访问电能管理系统,依次提高管理信息的透明度,增强企业管理决策的公信力。
2 系统设计
2.1系统结构
随着现代电子技术、计算机技术、通信技术和信号处理技术的不断发展,企业电能管理系统的体系架构也在不断创新,主要经历了3个发展阶段,即集中式系统结构、分布式系统结构和分层分布式系统结。3种结构分别如图1、图2和图3所示。
图1 集中式结构图
图2 分布式结构图
图3 分层分布式结构图
综合比较3种结构形式,分层分布式架构的优点主要有以下4点。①系统总体安全性较高,任意部分发生的故障均只危害局部。②组态灵活。③有效降低了二次生产设备,节约了大部分二次电缆,生产成本低,操作维修简单。④抗干扰能力强。
系统数据丰富,主要体现在采集点多、保存的信息量大等方面。系统的功能包含了覆盖到全厂的电力数据收集、监视和 Web 开发等基础应用外,还应具有对电力数据的检索、分类、管理等功能。由于电力数据处理工作与工业生产直接相关,综合考虑安全性、实时性、准确度等因素,企业电能管理系统采用分层分布式架构,如图4所示。
图4 分层分布式系统结构图
①间隔层。间隔层主要由用于电参量采集测量的各类型仪表、计算机保护装置和继电保护单元等组成,是电能监视与管理系统必要的基本组成元素,肩负着采集数据的重任。间隔层位于系统的底层,负责采集系统运行的实时电气参量、底层设备的状态信息,及时响应和执行对外服务层以及站级管理层发布的控制命令。在故障发生时,微机保护装置则快速有效地启动保护,将故障影响控制在小范围内。②站级管理层。该层是对外服务层的下层,间隔层的上层,属于承上启下的中介层,是对外服务层和间隔层之间的数据交换通路。该层主要由通信网络、数据库服务器和通信管理设备组成,可以实现间隔层和对外服务层之间的高速、可靠的数据交换。负责汇总底层采集设备、保护装置等的实时数据信息,并对收集到的数据信息进行分类、提取、解析和发布。③对外服务层。作为系统的核心部分,实时汇总企业电能数据信息并不断刷新数据库,对收集到的信息进行必要的数据剔除、数据平滑、缺失值补救预处理后,按照既定规约将传送数据给各应用软件,实现对全厂设备用电数据的实时监控和管理。同时,对外服务层还发布有关控制命令转间隔层、站级管理层执行。主要功能包括数据实时展现、事故报警、电能质量管理、报表管理、用户管理、智能查询、设备检修维护管理和智能操作票等。对外服务层通过 Web 服务器与企业内部局域网互联,提供基于内部局域网办公网络的数据接口和相关功能服务,同时还可以提供基于 Internet 的相关外部门户服务功能。
2.2考核模型
为了提高企业员工的自主节能意识,完善考核制度,为管理者提供奖惩依据,需要建立一套科学的考核模型,为企业电能管理制度的制定提供决策支持。
2.2.1分时电价考核
企业内部应该将分时电价考核纳入成本管理之中,建立分时电耗计量和分时电费结算模式。为了实现“削峰平谷”,减少电费支出,对企业各部门、各车间进行分时电价统计考核。
根据电业局对用电尖、峰、平、谷时段的规定,对各车间每天不同时段的用电量及相应的电费进行统计。
假设第i个车间第j天的用电量为Q尖ij,而其在尖、峰、平和谷不同时段的用电量分别为Q尖ij,Q峰ij,Q平ij和Q谷ij,其中:
ρ平表示平段电价,系统以ρ平作为基准值,按照事先设定的系数,尖段电价、峰段电价、谷段电价分别取1.75ρ平、1.5ρ平、0.5ρ平。
实行峰谷分时段电价后,各车间在电费的杠杆作用推动下,积极、合理地改变用电策略,削尖峰填谷底,以便实现平滑电力负荷曲线的目的,做到“移峰填谷”。“移峰填谷”除了减少电费支出,还可以提高企业员工节能节电的意识,降低生产成本,增加公司效益。
2.2.2 单耗定额考核
单位产品消耗的电能量是衡量企业能耗的重要指标,制定单耗标准以及具体的考核制度,使企业各部门、各车间的能源耗费水平直接和效益挂钩,以增强员工的节电积极性,从而实现节能降耗的目的。假设第 i 个车间第 j 个月的电能单耗为 qij,则
式中:qij为第i个车间第j个月的实际用电单耗;Qij为第i个车间第j个月的总用电量;Gij为第i个车间第j个月的产品总产量;Qij(F)为第i个车间第j个月的辅助生产用电;Qij(Z)为第i个车间第j个月的直接生产用电。
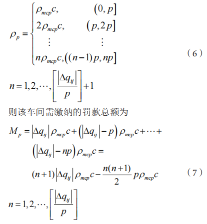
假设第i个车间第j个月的单耗标准定额为qij(0),实际的电能单耗为qij,∆qij=qij-qij(0) 为第i个车间第j个月的单耗差额。取阶梯值为p,将差额电量∆qij 按进行分级,共分为N 级,
其中,p为分级阶梯值。
当某车间的真实单耗用电大于单耗定额标准值qij(0)时,定义惩罚系数c,则对 ∆qij中处于 (n-1)p 和np之间的部分
按 nρmcpc 元 /度缴纳罚款。每级的惩罚金额为
当某车间的真实单耗用电小于单耗定额标准值qij(0) 时,定义奖励系数 d,令 d>c,则对 ∆qij 中处于(n-1)p 和 np 之间的部分
按nρmcpc 元 / 度进行奖励。每级的奖励金额为
因此,若第 i 个车间第 j 个月的实际单耗与单耗定额之间的差额为 ∆qij,则可得出该车间该月可获得的奖惩金额 M 为
2.2.3电能质量考核
定义 ∆Ub(电压偏差),∆fb(频率偏差),εb(三相不平衡度),THDb(谐波畸变率),db(电压波动率)分别代表 5 项电能质量的标准值,则这 5 项电能质量考核指标分别定义如下。
其中,db代表电压波动国家标准值,d 表示电压波动。
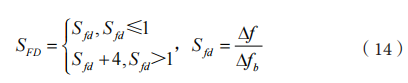
频率偏差指标 SFD为
其中,∆fb 代表频率偏差国家标准值,∆f 表示频率偏差。
谐波畸变率指标 SHD为
其中,THDb代表谐波畸变率国家标准值,THD表示谐波畸变率。
电能质量综合指标 SPQI为
根据SPQI的值将电能质量分为A(SPQI<0.25),B(0.25≤SPQI<0 .5 ),C( 0.5≤SPQI<0.75),D(0.75 ≤SPQI<1),E(SPQI>1)5个等级,按照系统设定的规则,对电能质量的不同等级实施奖惩。
2.3系统软件设计
采用面向对象的软件编程方法和模块化的设计,用不同的功能模块实现系统的不同功能,各个单元间彼此独立,又有机地构成了一个整体,使该软件具备灵活多样、可修改、易于后期扩展的特性。图5为系统的软件框图。
图5 系统软件框图
3 安科瑞Acrel-3000WEB电能管理解决方案
3.1概述
用户端消耗着整个电网80%的电能,用户端智能化用电管理对用户可靠、安全、节约用电有十分重要的意义。构建智能用电服务体系,全面推广用户端智能仪表、智能用电管理终端等设备用电管理解决方案,实现电网与用户的双向良性互动。用户端急需解决的研究内容主要包括:先进的表计,智能楼宇、智能电器、增值服务、客户用电管理系统、需求侧管理等课题。
安科瑞Acrel-3000WEB电能管理解决方案通过对用户端用电情况进行细分和统计,以直观的数据和图表向管理人员或决策层展示各分项用电的使用消耗情况,便于找出高耗能点或不合理的耗能习惯,有效节约电能,为用户进一步节能改造或设备升级提供准确的数据支撑。
3.2应用场所
(1)办公建筑(商务办公、大型公共建筑等);
(2)商业建筑(商场、金融机构建筑等);
(3)旅游建筑(宾馆饭店、娱乐场所等);
(4)科教文卫建筑(文化、教育、科研、医疗卫生、体育建筑等);
(5)通信建筑(邮电、通信、广播、电视、数据中心等);
(6)交通运输建筑(机场、车站、码头建筑等)。
3.3系统结构
3.4系统功能
3.4.1实时监测
系统人机界面友好,以配电一次图的形式直观显示配电线路的运行状态,实时监测各回路电压、电流、功率、功率因数、电能等电参数信息,动态监视各配电回路断路器、隔离开关、地刀等合、分状态,以及有关故障、告警等信号。
3.4.2电能统计报表
系统以丰富的报表支撑计量体系的完整性。系统具备定时抄表汇总统计功能,用户可以自由查询自系统正常运行以来任意时间段内各配电节点的用电情况,即该节点进线用电量与各分支回路消耗电量的统计分析报表。该功能使得用电可视透明,并在用电误差偏大时可分析追溯,维护计量体系的正确性。
3.4.3详细电参量查询
在配电一次图中,当鼠标移动到每个回路附近时,鼠标指针变为手形,鼠标单击可查看该回路详细电参量,包括三相电流、三相电压、三相总有功功率、总无功功率、总功率因数、正向有功电能,并可以查看24小时相电流趋势曲线及24小时电压趋势曲线。
3.4.4运行报表
系统具有实时电力参数和历史电力参数的存储和管理功能,所有实时采集的数据、顺序事件记录等均可保存到数据库,在查询界面中能够自定义需要查询的参数、规定时间或选择查询更新的记录数据等,并通过报表方式显示出来。用户可以根据需要定制运行日报、月报,支持导出Excel格式文件,还可以根据用户要求导出PDF格式文件。
3.4.5变压器运行监视
系统对配电系统总进线、主变压器、重要负荷出线的运行状态进行在线实时监视,用曲线显示电流、变压器运行温度、有功需量、有功功率、视在功率、变压器负荷率等运行趋势,分析变压器负荷率及损耗,方便运行维护人员及时掌握运行水平和用电需求,确保供电安全可靠。
3.4.6实时报警
系统具有实时报警功能,系统能够对配电回路断路器、隔离开关、接地刀分、合动作等遥信变位,保护动作、事故跳闸,以及电压、电流、功率、功率因数越限等事件进行实时监测,并根据事件等级发出告警。系统报警时自动弹出实时报警窗口,并发出声音或语音提醒。
3.4.7历史事件查询
系统能够对遥信变位,保护动作、事故跳闸,以及电压、电流、功率、功率因数越限等事件记录进行存储和管理,方便用户对系统事件和报警进行历史追溯,查询统计、事故分析。
3.4.8电能质量监测
系统可以对整个配电系统范围内的电能质量进行持续性的监测,运行维护人员可以通过谐波分析棒图、报表掌握进线、变压器、重要回路的电压、电流谐波畸变率、谐波含量、电压不平衡度等,及时采取相应的措施,降低谐波损耗,减少因谐波造成的异常和事故(该功能需要选配带谐波监测功能的电力仪表,不需要可删除。
3.4.9遥控操作
系统支持对断路器、隔离开关、接地刀等进行分、合遥控操作。系统具有严格的密码保护和操作权限管理功能,对于每次遥控操作,系统自动生成操作记录,记录内容包含操作人、操作时间、操作类型等。实现该功能需要断路器本身具有电操机构及保护保测控装置具备遥控功能等硬件设备的支持。
3.4.10用户权限管理
系统为保障系统安全稳定运行,设置了用户权限管理功能。通过用户权限管理能够防止未经授权的操作(如配电回路名称修改等)。可以定义不同级别用户的登录名、密码及操作权限,为系统运行、维护、管理提供可靠的安全保障。
3.4.11通讯状态图
系统支持实时监视接入系统的各设备的通讯状态,能够完整的显示整个系统网络结构;可在线诊断设备通讯状态,发生网络异常时能自动在界面上显示故障设备或元件及其故障部位。从而方便运行维护人员实时掌握现场各设备的通讯状态,及时维护出现异常的设备,保证系统的稳定运行。
3.4.12视频监控
视频监控展示了当前实时画面(视频直播),选中某一个变配电站,即可查看该变配电站内视频信息。
3.4.13用户报告
用户报告页面主要用于对选定的变配电站自动汇总一个月的运行数据,对变压器负荷、配电回路用电量、功率因数、报警事件等进行统计分析。
3.4.14 APP支持
电力运维手机支持“监控系统”、“设备档案”、“待办事项”、“巡检记录”和“缺陷记录”五大模块,支持一次图、需量、用电量、视频、曲线、温湿度、同比、环比、电能质量、各种事件报警查询,设备档案查询、待办事件处理、巡检记录查询等。

3.5系统硬件配置清单
4结语
本文设计了一套适用于大型企业的分层分布式电能管理系统,通过智能化的硬件平台和模块化的系统软件,使企业管理人员可以即时并直观清晰地掌握全公司的电力消耗状况,以此为基础来建立相应的电能管理决策,实现对企业各部门用电的精细化管理,实现节能降耗的目的。
【参考文献】
[1]大型企业电能管理系统的研制.刘玉苹,刘双安.
[2]隋新华.论企业的节能管理 [D].合肥:合肥工业大学,2004.
[3]刘玉苹.企业电能量监视与管理系统的研制 [D].长沙:湖南大学,2011.
[4]黄亮亮.大型企业电气管理节能的先进技术与工程应用 [D].长沙:湖南大学,2010.
[5]杨新民.电力系统综合自动化 [M].2版.北京:中国电力出版社,2008.
[6]安科瑞企业微电网设计与应用手册 2022.05版.
本文地址: https://www.xsyiq.com/9854.html
网站内容如侵犯了您的权益,请联系我们删除。