疏水涂料的理论模型
液体在固体表面的润湿特性常用杨氏方程描述。液滴与固体表面的接触角大,润湿性差,其疏液体性强;反之则亲液体性强。固体表面的疏水性与其表面能密切相关。固体表面能低,静态水接触角大,当水接触角大于90°时呈明显的疏水性。目前已知的疏水材料中有机硅和有机氟材料的表面能低,并且含氟基团的表面能依—CH2—>—CH3>—CF2—>—CF2H>—CF3的次序下降。—CF3的表面能低至6.7mJ/m2,在光滑平面上的水接触角最大,通过Dupre公式可计算为115.2°,长链碳氢基团的自组装有序单层膜的水接触角可达112°。而通常低表面能无序排列的有机硅、有机氟聚合物的水接触角分别为101°和110°。
固体表面的润湿性是由固体表面的化学组成和表面三维微结构决定的。通常有2种方法可提高固体表面的水接触角和疏水性:①通过化学方法改性固体的表面化学组成,降低其表面自由能;②改变固体表面的三维微结构,提高固体表面的粗糙程度。在光滑平面上通过化学方法降低固体表面的自由能来提高其疏水性是相当有限的,水接触角不超过120°。自然界很多植物叶子表面存在超疏水性,最典型的就是荷叶。德国波恩大学WBarthlott和CNeinhuis系统研究了荷叶表面的自清洁效应,发现荷叶表层生长着纳米级的蜡晶,使荷叶表面具有超疏水性,同时荷叶表面的微米乳突等形成微观粗糙表面(见图1),超疏水性和微观尺度上的粗糙结构赋予了荷叶“出污泥而不染”的功能,也就是荷叶效应(Lotus-effect)。
中科院江雷等研究发现荷叶表面的乳突(平均直径5~9μm)上还存在纳米结构(124.3±3.2)nm,这种微米结构与纳米结构相结合的阶层结构是产生超疏水和自清洁效应的根本原因。合适的表面粗糙度对于构建疏水性自清洁表面非常重要。Wenzel发展了杨氏模型和接触角方程,提出了固体粗糙表面的接触角方程,引入了粗糙度因子r(粗糙面实际面积与几何投影面积的比率,r≥1)。

图1 荷叶表面的微观结构及超疏水效果
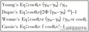
提高固体表面粗糙度,对于疏水表面(θ>90°,cosθ为负值;而亲水表面θ<90°,cosθ为正值,提高粗糙度可形成超亲水表面)则可大大提高其疏水性,水接触角可高达150°以上。根据Wenzels理论,浸润性由固体表面的化学组成和微观几何结构共同组成,一定的表面微观粗糙度不仅可以增大表面静态接触角,进一步增加表面疏水性,而且更重要的是可以赋予疏水性表面较小的滚动角,从而改变水滴在疏水性表面的动态过程。Cassie在此基础上考虑到实际当中固-液界面间的空气气泡,提出了应用更为广泛的Cassies模型和方程,其中f为液体接触固体表面的分数。超疏水涂膜的获得源于自然界,可通过仿生的方法人工构建粗糙表面并进行疏水修饰8。固体表面润湿模型见图2。

图2 固体表面润湿模型
接触角方程如下:

式中:γSV、γSL、γLV分别为固-气、固-液、气-液间的界面张力;Φ为相关系数;θS为光滑表面的接触角;θr为粗糙表面的接触角;r为粗糙度因子;f为液体接触固体表面的面积分数。
荷叶效应的涂膜,必须同时具备三方面的特性:
(1)具有低表面能的疏水性表面;
(2)合适的表面粗糙度;
(3)低滚动角。
通过2种方法可实现荷叶效应:一种是加入超强疏水剂,如氟硅类表面活性剂,使涂膜表面具有超低表面能,灰尘不易黏附;另外一种是模拟荷叶表面的凹凸微观结构设计涂膜表面,降低污染物与涂膜的接触面积,使污染物不能黏附在涂膜表面,而只能松散地堆积在表面的凹凸处,从而容易被雨水冲刷干净。
低表面能疏水涂料的分类
低表面能疏水涂层具有防水、防雾、防雪、防污染、抗粘连、抗氧化、防腐蚀、自清洁以及防止电流传导等重要特点,在科学研究和生产、生活等诸多领域中具有极为广泛的应用前景。低表面能疏水涂层通常分为两类。一类是光滑表面的低表面能涂层,该涂层表面的静态水接触角θ>90°;还有一类则是超疏水涂层,它是一种具有特殊表面性质的新型涂层,该固体涂膜的水接触角大于150°且水接触角滞后小于5°。前一种涂层研究起步比较早,已经广泛应用于抗沾污领域。而第二种涂层是近年来才发展起来的较新的研究领域,比如纳米防水网的VZ-SW是电子产品PCB板防水疏水的优秀代表。
德国STO公司下属的ISPO公司,根据荷叶效应机理和硅树脂外墙涂料的实际应用结果,经过3年研究工作,于20世纪90年代末成功地把荷叶效应移植到外墙乳胶漆中,开发了微结构有机硅乳胶漆,即荷叶效应乳胶漆。
谢琼丹等利用2种聚合物在同一种溶剂中溶解度不同的原理,得到了表面具有类似荷叶的微米-纳米双元结构的涂层。首先采用常规的自由基聚合和缩合聚合合成了PMMA和EPU这2种聚合物,然后将它们经过分离提纯后溶于同一种溶剂制得了超疏水涂层,水接触角可达166°,滚动角仅为(3.4±2.0)°。另外,利用上述同样的原理,用原子转移自由基聚合的方法合成了嵌段共聚物PS-b-PDMS和PP-b-PMMA,并以嵌段共聚物为成膜物,得到了水接触角分别为167°和160°的涂层。Sun等最近报道了一种纳米浇铸的方法制备的超疏水的表面。他们首先利用荷叶作为初始模板制作一个阴极模板,然后利用阴极模板制作阳极模板。阳极的模板与荷叶表面有同样的表面结构和超疏水性。
虽然据称“荷叶效应”是一种简单的制备超疏水涂层的方法,但是此类超疏水产品并无很大的实用价值。而市场上流通的所谓有“荷叶效应”的涂料并不具有超疏水性质,仅具有一定的疏水特性,且接触角都在120°以下,并且由于添加了一些蜡、含氟添加剂等,使用寿命大大缩短。
由此可见,仿生学在涂料疏水性方面的应用目前并不成熟,尤其在超疏水领域仅处于理论研究阶段,今后仍将继续为研究热点。有机硅/氟材料是最重要最常用的低表面能疏水材料,聚二甲基硅氧烷的表面能为21~22mN/m,全氟烷则更小,为10mN/m,比一般的有机化合物都小,远比水的表面能(72.8mN/m)小,具有显著的疏水性。
采用有机硅树脂制得的漆膜水接触角一般在100°左右,疏水能力一般,耐水时间短,在水中短时间浸泡会使表面能逐渐增大,疏水性下降明显。因此有机硅树脂在疏水涂层制备方面的应用受到了限制。
有机氟化合物中的氟原子决定了其具有特殊的性能。氟是元素周期表中电负性最大的元素,其半径小、C—F键长短、键能大以及含氟聚合物主链连接的氟原子沿着锯齿状C—C键作螺旋状分布的特征,使得聚合物主链受到严密的屏蔽而免受外界因素(光、水、氧以及化学物品)的直接作用,从而提高了有机氟聚合物的耐候性、抗氧化性及耐腐蚀性。有机氟化合物分子间的凝聚力低,空气和聚合物界面间的分子作用力小,表面自由能低,表面摩擦系数小,赋予了有机氟聚合物优异的耐水性、耐油性及耐磨性。正是由于含氟聚合物具有上述优异的特殊性能,含氟单体及其聚合物在电子防水防潮领域的研究也就成为了主流。
本文地址: https://www.xsyiq.com/772.html
网站内容如侵犯了您的权益,请联系我们删除。