制造业知识分享、信息发布平台-兴盛制造网 Email: 206027815@qq.com

【微课堂】湿热灭菌生物指示剂的选型与案例解析

分类: 其他 浏览量: 留言数: 57741

湿热灭菌是目前应用广泛的灭菌方法之一,在湿热灭菌工艺的开发及验证过程中,其生物学验证——“生物指示剂的选型”常常困扰着大多数用户,如何选择合适的生物指示剂才能做到对湿热灭菌工艺形成微生物挑战?
接下来我们通过案例分析和大家共同探讨常见湿热灭菌生物指示剂的选型问题。

结构类型案例

当灭菌对象为如培养基、注射剂等液体时,建议选择悬液式湿热灭菌生物指示剂。

当灭菌对象为织物、敷料等固体材料时,建议选择片式或者自含式生物指示剂。
解析

1)悬液式生物指示剂是指将孢子悬液密封在安瓿瓶中的一类生物指示剂,可以模拟被灭菌液体内部的情况,尤其是大体积液体的灭菌状态,若为无法放置片式或自含式生物指示剂的管道内部灭菌,也可以选择悬液式(直管)生物指示剂。

2)片式或自含式生物指示剂为纤维素载体。一般灭菌因子为高温的饱和蒸汽的固体样品,如织物,容器等,建议选择片式或自含式压力蒸汽灭菌生物指示剂。

液体样品灭菌或管道灭菌

固体样品灭菌
根据灭菌程序F0值选择案例
Q1

某灭菌程序的灭菌条件为121℃,12min,能否选择FBio12min的生物指示剂?
A:能否选择FBio≥12min的生物指示剂,需知晓该灭菌程序的FPhy,即使是相同的灭菌参数,不同设备的FPhy的也可能存在较大差异,如脉动真空灭菌器和水浴灭菌器。建议根据《欧洲药典》的要求,选择物理杀灭时间FPhy将指示剂杀灭到10-110-3
Q2

灭菌程序1参数为:121℃,8min,FPhy值为13min,选择生物指示剂的D值为1.8min,芽孢数量为2.0×106cfu/支,可以将指示剂杀灭。灭菌程序2参数为:121℃,10min,FPhy值=15min,能否使用同一批生物指示剂?
A:本批生物指示剂的FBio经计算为11.3min,推荐应用于FPhy值在13.1~16.7min之间的灭菌程序。灭菌程序FPhy为13min经实验证实可杀灭该批次生物指示剂;灭菌程序2的参数为121℃ 10min的杀灭程序符合将指示剂杀灭到10-110-3的要求,可以共同使用该批次生物指示剂。
Q3

115℃,30min的灭菌程序,采用FBio值≥8min的指示剂是否合适?
A:生物指示剂F0值≥8min是指“121℃”下生物指示剂F0值。115℃,30min灭菌条件根据灭菌率(Z值=10℃)计算,115℃,30min灭菌条件相当于121℃灭菌7.5min,此时选用FBio值≥8min的生物指示剂,结果会有概率呈现阳性。该灭菌条件需选择FBio值更低的生物指示剂,GB 18281.3-2015《医疗保健产品灭菌 生物指示物 第3部分:湿热灭菌用生物指示物》指出在低于121℃的情况下,可以使用枯草芽孢杆菌(B.subtillisATCC 35021(5230)等菌种作为生物指示剂的指示微生物。
生物指示剂选型推荐表

名词解析
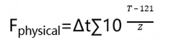
1)FPhy物理F0值)

FPhy(FPhysical值是指灭菌程序的物理参数计算的物理杀灭时间,是灭菌率在时间上的累积,计算公式如下。

式中:t=灭菌器中记录温度的时间间隔
T=灭菌器的实际温度
2)FBio(生物F0

FBioFBiologica值是指灭菌程序的生物杀灭时间,表示生物指示剂挑战试验系统中微生物实际杀灭效果的量度,计算公式如下。

式中:DT=生物指示剂的D值
lgN0=生物指示剂的芽孢数量
注:不同批次的生物指示剂其 D 值及芽孢数量不同,故其对应的FBio值也不同。
3)生物指示剂选择需知晓的参数
在进行灭菌验证时,恰当选用生物指示剂,对提高验证效率、保证验证效率均有重要意义。选择生物指示剂时,须知晓灭菌方式、灭菌条件与灭菌程序的FPhy值,并根据上述条件考虑生物指示剂的D值、芽孢数量等参数。
泰林生物指示剂符合ISO 11138、GB 18281、PDA TR51及药典(USP,EP,Chp)的质量要求,使用的芽孢可以追溯至菌种保藏中心,检验报告包含芽孢浓度,D值等相关数据,并提供专业的选型支持服务。您也可以通过扫描下图二维码帮助进行生物指示剂的选型。泰林生命科学,将持续致力于微生物检测和控制,为您提供优质的解决方案。

本文地址: https://www.xsyiq.com/57741.html
网站内容如侵犯了您的权益,请联系我们删除。

标签: 上一篇: 下一篇: