一、桥式起重机技术参数有哪些
桥式起重机的主要技术参数有起重量、跨度、提升高度、运行速度、提升速度、工作类型及电动机的通电持续率等。
1、起重量
起重量又称额定起重量,是指起重机实际允许的起吊最大负荷量,以吨(t)为单位。
桥式起重机起重量有5、10(单钩)、15/3、20/5、30/5、50/lO、75/20、100/20、125/20、150/30、200/30、250/30t(双钩)等多种。数字中的分子为主钩起重量,分母为副钩起重量。如15t/3t起重机是指主钩的额定起重量为15t,副钩的额定起重量为3t。
桥式起重机按起重量可以分为三个等级,5~lOt为小型起重机,lO~50t为中型起重机,50t以上的为重型起重机。
2、跨度
桥式起重机的跨度是指起重机主梁两端车轮中心线间的距离,即大车轨道中心线间的距离,以米(m)为单位。
桥式起重机跨度有10.5、13.5、16.5、19.5、22.5、25.5、28.5、31.5m等多种。每3m为一个等级。
3、提升高度
起重机的吊具或抓取装置(如抓斗、电磁吸盘)的上极限位置与下极限位置之间的距离,称为起重机的提升高度,以米(m)为单位。
起重机一般常用的提升高度有12、16、12/14、12/18、16/18、19/21、20/22、21/23、22/26、24/26m等几种。其中分子为主钩提升高度,分母为副钩提升高度。

4、运行速度
运行速度是指大、小车移动机构在其拖动电动机以额定转速运行时所对应的速度,以米/分(m/min)为单位。小车运行速度一般为40~60m/min,大车运行速度一般100~135m/min。
5、提升速度
提升机构的电动机以额定转速使重物上升的速度,即提升速度。一般,提升速度不超过30m/min,依重物性质、重量、提升要求来决定。
提升速度还有空钩速度,空钩速度可以缩短非生产时间,空钩速度可以高达额定提升速度的两倍。
提升速度还有个特例,重物接近地面时的低速,称为着陆低速,以保证人身安全和货物的安全,其速度一般为4~6 m/min。
6、工作类型
起重机的工作类型按其载荷率和工作繁忙程度决定,可分为轻级、中级、重级和特重级四种。
(1)轻级。运行速度低,使用次数少?满载机会少,通电持续率为15%。用于不紧张及不繁重的工作场所。如在水电站、发电厂中用作安装检修用的起重机。
(2)中级。经常在不同载荷下工作,速度中等,工作不太繁重,通电持续率为25%,如一般机械加工车间和装配车间用的起重机。
(3)重级。工作繁重,经常在重载荷下工作,通电持续率为40%,如冶金和铸造车间内使用的起重机。
(4)特重级。经常吊额定负荷,工作特别繁忙,通电持续率为60%,如冶金专用的桥式起重机。
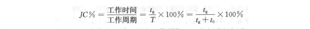
7、通电持续率
桥式起重机的各台电动机在一个工作周期内是断续工作的,其工作的繁重程度用通电持续率JC%表示。通电持续率为工作时间与工作周期的百分比,即

式中:
为通电时间;
为休息时间;T为工作周期,一个起重机标准的工作周期通常定为lOmin。标准的通电持续率规定为15%、25%、40%、60%四种。
二、桥式起重机规格型号大全
1、LDA型号1-20t电动单梁起重机
2、LX型号0.5-5t电动单梁悬挂起重机
3、LB型号1-10t防爆电动单梁起重机
4、LXB型号0.5-5t防爆电动单梁悬挂起重机
5、LH型号5-32/10t电动葫芦桥式起重机
6、QD型号5-50/10t吊钩
7、QD型号75/20-100/20t吊钩桥式起重机
8、QD型号100/32-250/50t吊钩桥式起重机
9、QD型号75/20-125/50t铸造起重机
10、QC型号5-16t电磁桥式起重机
11、QC型号16-32-32/5t电磁桥式起重机
12、QZ型号5-20t抓⽃桥式起重机
13、QD型号5-50t慢速吊钩桥式起重机
14、QD型号5-32t地操吊钩桥式起重机
15、QY型号5-50t绝缘吊钩桥式起重机
16、QD型号5-50t变频调速桥式起重机
17、QB型号5-50t防爆吊钩桥式起重机
18、LDZ型号3-5t电动电梁抓⽃起重机
19、SDQ型号1-10t⼿动单梁起重机
20、SDXQ型号0.5-3t⼿动单梁悬挂起重机
21、SSQ型号5-20t⼿动双梁起重机
本文地址: https://www.xsyiq.com/24077.html
网站内容如侵犯了您的权益,请联系我们删除。